你知道长江主要支流之一的清江吗?(一)
长江第一大支流一一汉江,众所周知。
长江主要支流一一清江呢?关于它的源头就众说纷纭,一言难尽。

清江源头一一利川汪营镇清江村
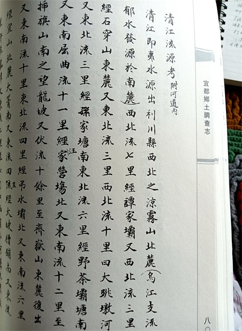
杨守敬说:“清江,古称夷水,亦称盐水,西出利川凉雾山(今齐岳山,东至宜都陆城注入长江,全流程880华里。"注入长江后,于上海市崇明岛以东汇入东海。

民国九年《宜都乡土志》认同杨说

《宜都乡土调查志》作者名
乌江古称黔江,贵州省最大河流。发源于其西部乌蒙山,于重庆市涪陵入长江,长IO18千米。
利川境内齐跃山纵贯西北,齐岳,属云贵高原大巴山山脉的东南支脉,从四川巫山长江南岸径奉节,云阳入利川的县境,全长77O公里。在利川境内长91.5公里,最高峰1,895米,一般海拔1,45O米,是利川西部的巨大屏障。齐岳山中段,高耸着7个雄峰,各峯相隔2一一5公里,巍峨壮观,其势欲与五峰争雄,故名齐岳山。
都亭山,位于利川西部,南北走向,全长115公里,最高山海拔I,7l4米,整个山脉与齐岳山平行于利川西部。都亭山是古巴国故地,是巴民族聚集之地。

群山争霸的齐岳山

利川都亭山

都亭山
清《施南府志》说:“清江即夷水,源出四川边界,经石柱厅之白杨渡(渡口上原有一颗古老高大的白杨树故名)入利川县境。”
杨说,施南说,等等等说,管他谁说,最后总有权威者一说!
但清江流经利川、恩施、宣恩、建始、巴东、长阳、宜都等七县市,此条一说,谁也不敢乱说!

清江风光

清江风光

腾龙洞瀑布
水色清照十丈,分沙石,蜀人见其澄清,因名清江。

清江植被

2019年9月作者与老伴游腾龙洞

作者游天龙地缝

天龙地缝
部分照片来源于网络
摄影李督修
宜都李督修
标签:
82
昆士兰大学音乐学院介绍 昆士兰大学音乐学院是最受追捧的,音乐教育和音乐制作以及社区音乐等相关领域都会有较深入的学习,就读该专业的学子讲究理论与实践的双向结合,三门必...
113
开工大吉,朋友圈文案这样发,旺你一整年 第一篇 重新出发,希望今年能够收获满满,工作成就新高度!祝大家开工大吉,工作顺心,生活美满!新的一年,新的开始,愿我们的事业...
72
俱乐部DreamTrips国际互联网在线旅行俱乐部介绍 DreamTrips是全球性的国际互联网在线旅行俱乐部,会员可以在自己名字命名的旅行订购网站或手机app上订购193个国家的旅行套餐,以及机票...
52
还去韩餐馆点饼吃吗?简单又美味的海鲜饼自己在家做喽~~ 春节期间少不了老友聚会,就去了几次韩国烧烤店。 除了烤肉外,韩餐店里的各种泡菜饼海鲜饼,也是婶子最常点的。 吃多...
59
柑橘种类及优良品种! 柑橘种类繁多,根据植物学分类和栽培品种特点,可大致分为以下几类及其优良品种: ·一、柑橘主要种类: →1.宽皮柑橘类(Citrus reticulata),果皮宽松易剥,果...
170
别给孩子玩水宝宝了,虽然好看,但你知道它的危险吗? 别给孩子玩水宝宝了,虽然好看,但你知道它的危险吗? 还记得水宝宝吗?小时候很多孩子喜欢在水里养水宝宝,我曾经也热...
58
六安高速花江站下半年开通,助力花江镇打造“经济快车道” 六枝至安龙高速公路花江站即将在今年下半年启用,这将为关岭自治县花江镇的经济社会高质量发展注入“新活力”,带来...
133
兰州市开通1号线和2号线的地铁 州市目前已开通了两条地铁线路,分别是1号线和2号线。 其中,1号线是兰州市第一条地铁线路,于2019年正式通车,全长约17.3公里,共设16座车站;2号线...
105
韩雪怒斥流量清零,消费者面对霸王条款该怎么办? 虽然各大运营商与近期纷纷推出“手机流量不清零”的新政策,但却频频遭消费者质疑,流量不清零但流量跑的更快了。11月1日下午...
125
对日结工的一点看法 日结工,以前,听都没有听说过,现在是见怪不怪了。 一不顺心,就辞职走人,大不了去做日结。 顾名思义,日结工,就是,当天打工,谈好工价,干完,手机微...
160
布沙发半年不洗竟这么脏!教你简单一招,比拆洗完还干净 沙发和窗帘清洁起来真的很麻烦,拆来拆去的,整个人都累瘫掉。今天就教你几个方法,不用拆、不用洗就能轻松解决。 沙...
79
20年大厨教你做红焖大虾,鲜嫩解馋,味美下饭,老少皆宜的美食 #挑战30天在头条写日记# 20年大厨教你做红焖大虾,鲜嫩解馋,味美下饭,老少皆宜的美食 大虾的营养不必多说,而且...
196
3款自制水果酒,醇香好喝不上头,健康无添加,做法超简单 3款自制水果酒,醇香好喝不上头,健康无添加,做法超简单 水果酒就是用水果和酒浸泡发酵而成,不同的季节有不同的水果...
163
“建议岳云鹏别上春晚”,这个梗怎么会愈演愈烈? 语言类节目历来都是春晚的重头戏,观众对2025春晚的相声、小品持有很高的期待值。岳云鹏第八次站上了春晚的舞台,他的搭档依...
161
周放的演艺生涯与公众形象 周放的演艺生涯与公众形象 在璀璨的演艺界,周放以其出众的外貌和扎实的演技,逐渐在观众心中占据了重要位置。她的每一次亮相,都仿佛一颗璀璨的明...
173
运城关帝庙招财、消灾、去病还送子 在中国有一个人跟佛祖观音一样神通广大,他能消灾、除病、招财、送子。他还本土真实。所以中国人曾经非常尊敬他,为他建的祠堂遍布九州。他...
164
邱佩宁:从银幕嫦娥到亿万富翁,传奇一生引人深思 在娱乐圈,有这样一位女星,她的名字叫邱佩宁。 她的故事,仿佛一部传奇影片,撩动着无数人的心弦。一生只拍过一部戏,却让...
155
每天一县:宁夏吴忠市红寺堡区 每天一县:宁夏吴忠市红寺堡区 太史慈子义 红寺堡区(640303) ,面积3523平方千米,人口18万。因当地红富寺简称“红寺”而得名,明在“红寺”地方建...
67
股权分配的主要方法有哪些? POINT 01 传统股权分配方式之一:法定分配法 法定分配法指的是,大家按照公司法来分配股权,即按照大家出资的比例分配股权。首先评估一下创业所需要...
184
老君台 老君台简介 老君台,又名升仙台,位于鹿邑县明道宫内。系为纪念著名思想家、哲学家、道家学派创始人老子而修建,始建于汉代,盛于唐代。台高8.84米,是一座以古代青砖构...